 |
ВХОД ДЛЯ ЗАРЕГИСТРИРОВАННЫХ ПОЛЬЗОВАТЕЛЕЙ:
|
|
 |
Новости / Бриллианты: обзор изменения цен и инвестиционная привлекательность
28.02.12
Бриллианты: обзор изменения цен и инвестиционная привлекательность
В условиях нестабильной экономической ситуации не лишним бывает задуматься не только о сохранении своих средств, но и об их преумножении. Помимо привычных банковских вкладов и игры на курсе валют, многие рассматривают в качестве инвестиционного инструмента бриллианты. В настоящей статье сопоставляются различные факторы, в т.ч. ставки по вкладам и уровень изменения цен на бриллианты, а также оценивается возможная инвестиционная привлекательность бриллиантов по итогам 2011 года.
Информационно-аналитический бюллетень Rapaport в начале каждого календарного года публикует данные об изменении цен на бриллианты за различные периоды времени (один, три, пять, десять и двадцать лет), на основании этих данных можно проводить аналитические исследования, в том числе оценку инвестиционной привлекательности бриллиантов.
Для того чтобы оценить инвестиционную привлекательность бриллиантов, необходимо провести сравнительный анализ динамики изменения их стоимости и с другими рыночными показателями:
- Инфляция рубля в России в 2011 году по данным Федеральной службы госстатистики (Росстата) составила 6,1%, хотя многие эксперты считают такую цифру несколько заниженной. Прайс-лист Рапапорта публикуется в долларах, поэтому возникает вопрос, насколько же правомерно сравнивать коэффициент рублевой инфляции и изменение цен в долларах? Для 2011 года такое сравнение можно считать правомерным, поскольку курс доллара по отношению к рублю изменился на близкую величину (6%).
- Процентные ставки по вкладам (депозитам) в Москве различаются для срочных вкладов и вкладов до востребования, а также для разных валют. Так, по срочным вкладам наивысшие заявленные процентные ставки в 2011 составили 12,5% в рублях, 9% в долларах и 9% в евро. По вкладам до востребования подобные же ставки составляли 10,5% в рублях, 7,5% в долларах и 7% в евро. Разница между срочными депозитами и депозитами до востребования заключается в доходности и ликвидности. Первые отличаются меньшей ликвидностью, но при этом подобное вложение средств приносит больший доход. При построении графиков в расчет брались ставки в долларах, поскольку прайс-лист Рапапорта публикуется именно в этой валюте.
- Рост биржевой стоимости золота в долларах США (по данным Лондонской биржи драгоценных металлов) составил 15%: на начало 2011 года стоимость золота составляла $44,64 США за 1 грамм, а на начало 2012 года – $51,38.
Для оценки целесообразности инвестирования в бриллианты необходимо установить нижний уровень доходности - уровень цен, при котором инвестиции будут рентабельны. Полагаем, что объективно установить нижний уровень доходности (нулевую отметку анализа цен) можно как уровень инфляции в 2011 году или уровень инфляции рубля по отношению к доллару США, которая в среднем в 2011 году составила 6%. В случае если какой-либо камень подорожал в течение 2011 года более чем на 6%, инвестиции рентабельны.
.
| 0,30-0,39 карата |
|
|
|
0,40-0,49 карата |
 |
|
 |
|
 |
| |
|
|
|
|
| 0,50-0,69 карата |
|
|
|
0,70-0,89 карата |
 |
|
 |
|
 |
| |
|
|
|
|
| 0,90-0,99 карата |
|
|
|
1,00-1,49 карата |
 |
|
 |
|
 |
| |
|
|
|
|
| 1,50-1,99 карата |
|
|
|
2,00-2,99 карата |
 |
|
 |
|
 |
| |
|
|
|
|
| 3,00-3,99 карата |
|
|
|
4,00-4,99 карата |
 |
|
 |
|
 |
| |
|
|
|
|
| 5,00-5,99 карата |
|
|
|
10,00-10,99 карата |
 |
|
 |
|
 |
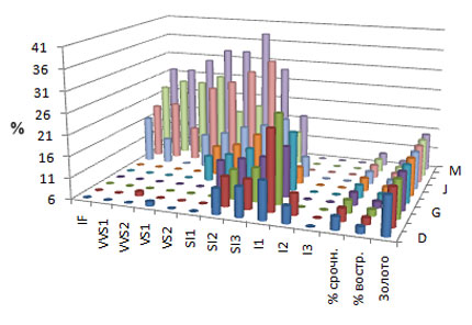
Разные камни – разная динамика
Для разных размерных групп зоны максимального и минимального роста стоимости бриллианта различаются.
- Для бриллиантов менее 0,50 карата (весовые группы 0,30-0,49 карата) максимальный прирост стоимости наблюдался для камней высоких групп чистоты при низком цвете, низких групп чистоты при высоком цвете, а также камней средних групп цвета и чистоты. Максимальный скачок стоимости в 38% среди камней 0,30-0,49 карата зафиксирован для бриллиантов M/SI1. Интересно при этом, что среди камней 0,40-0,49 карата наиболее крупный прирост стоимости (33%) продемонстрировали камни низких качественных характеристик M/I3. Для камней всего диапазона характеристик массой 0,30-0,49 карата средний прирост стоимости составил 11%.
- Для камней широкого диапазона масс от 0,50 до 3,99 карата по итогам года наблюдается схожая картина ценовой динамики: значительный рост стоимости практически всех категорий товара, за исключением камней чистоты I2 и I3 (которые либо не изменились в цене, либо прирост был минимальным).
Среди камней всех качественных характеристик в пределах одного размера в среднем наибольшим ростом цены характеризовались камни массой 3,00-3,99 карата: 17% (для всего массива камней) и 19% (для всех камней, кроме I2-I3). Однако камни других размеров от 3-каратников «отстали» немного: прирост их цены составил 14-16% и 16-19%, соответственно.
Для каждого из размеров рассматриваемого диапазона можно рассмотреть максимальные показатели повышения стоимости:
| 0,50-0,69 карата: 33% (J/VS1) |
|
1,00-1,49 карата: 25% (K/VS2) |
| 0,70-0,89 карата: 27% (M/VVS1) |
|
1,50-1,99 карата: 24% (G/IF) |
| 0,70-0,89 карата: 27% (M/VVS1) |
|
2,00-2,99 карата: 25% (G/IF) |
| 0,90-0,99 карата: 27% (M/VVS1, L/VS1) |
|
3,00-3,99 карата: 30% (L/I3)
|
| |
|
|
- Бриллианты от 4,00 карат и выше подорожали значительно меньше по сравнению с другими размерностями. В отличие от всех остальных весовых групп, для 4-каратников максимальный прирост наблюдался для камней низких групп чистоты (SI3-I2).
Исключение составили камни D/IF: стоимость которых выросла на 20% для камней массой 4,00-4,99 карата и на 14% для камней свыше 10%.
В среднем камни массой 4,00-5,99 карата подорожали на 6%, а 10-каратники – лишь на 4%. Среди 10-каратников вообще лишь единицы смогли преодолеть планку рентабельности инвестиций (наибольший прирост составил 14% для камней высших характеристик (D/IF).
Показатели максимального роста, зафиксированные для крупных камней, составили 21% для камней 4,00-4,99 карата (L/I1), 22% – для 5,00-5,99 карата (K/I1), 14% – для 10,00-10,99 карата (D/IF).
Привлекательность инвестиций в бриллианты
| |
Увеличение стоимости бриллиантов за 2011 году в процентах |
| |
 |
| |
|
На протяжении 2011 года цены на бриллианты менялись очень неоднородно. С января по август 2011 года наблюдался существенный рост цен на бриллианты. В августе же рынок отреагировал на вторую волну экономического кризиса, в результате чего цены стали постепенно снижаться. Однако это снижение в целом было меньше по сравнению с величиной, на которую эти цены выросли в начале года. Поэтому можно увидеть целый ряд камней, стоимость которых по итогам года выросла и выросла значительно. Эти категории камней видны на графиках, рост их стоимости превысил уровень рентабельности инвестиций.
Среди не потерявших в цене камней особо можно отметить следующие:
| 0,30-0,69 карата: высокие группы чистоты при низких группах цвета (J-M / IF-VS2) |
|
|
| 0,70-0,99 карата: D-M / IF-SI2 |
|
|
| 1,00-2,99 карата: F-K / IF-SI2 |
|
|
| 3,00-3,99 карата: D-I / IF-VS2 |
|
|
| 4,00-4,99 карата: D/IF, D-M / SI3-I1 |
|
|
| 5,00-5,99 карата: D-L / I1 |
|
|
| 10,00-10,99 карата: D / IF |
|
|
За прошедшие два месяца текущего года небольшое снижение цен на бриллианты все же продолжается. Поэтому не исключено, что в скором времени может наступить момент для выгодной покупки бриллиантов по сниженным ценам в качестве инвестиционного инструмента.
Этот материал сделан на основе статистики Рапапорта за 1 год. Однако такую же статистику можно сделать и для более длительных периодов времени.
В качестве общей тенденции стоит отметить, что 4-х и 5-каратники в настоящее время мало растут в цене. Но объясняется это, вероятно, не пониженным спросом, а тем, что предыдущие годы эти категории камней значительно подорожали.
Поскольку на рынке много продавцов и много покупателей, то цены на бриллианты (как и на другие товары) отражают баланс спроса и предложения. И если цены растут, то это означает, что спрос на бриллианты существует. Рапапорт публикует статистический анализ, сделанный на основе запрашиваемых цен на розничные продажи в наличном расчете в Нью-Йорке. Однако не только соотношение спроса и предложения определяет окончательную стоимость товара.
Другой важный фактор заключается в том, что стоимость бриллианта более чем 90% определяется стоимостью алмазного сырья. А в установлении цен на сырье существует искусственный фактор: сырьевые добывающие компании могут сами регулировать цены на алмазы. Поэтому сегодняшние цены на бриллианты во многом отражают цены на алмазное сырье, установленные несколько месяцев назад.
Кроме того, стоит учесть, что прайс-лист Рапапорта базируется на трех параметрах из привычных 4С: массе, цвете и чистоте. Огранка бриллианта здесь не учитывается, но она также влияет на стоимость камней и может как повысить, так и понизить стоимость камня.
Таким образом, прайс-лист Рапапорт – это индикатор цен на бриллианты, а не обязательная для сделок величина. И большинство сделок на рынке проходит с различными скидками от этого прайс-листа.
Ольга Яковлева, Алексей Смирнов, Юрий Шелементьев
Геммологический Центр МГУ
Все новости
|
|
 |
|